ФотобусАвтобусный транспорт

Информация об изображении

142 КБ


Идентификатор изображения:1873466
Размер файла:142 КБ
Автор:hotimsk
Опубликовано:25.11.2017 13:24 MSK
Находится на сайте, дней:3037
Уникальных просмотров:347
Комментариев:0

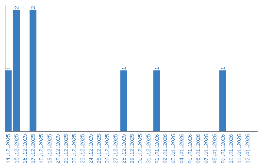
Динамика просмотров по датам