ФотобусАвтобустар галереясы

Информация об изображении

329 КБ


Идентификатор изображения:1871433
Размер файла:329 КБ
Автор:orion04
Опубликовано:20.11.2017 23:57 MSK
Находится на сайте, дней:2979
Уникальных просмотров:423
Комментариев:0

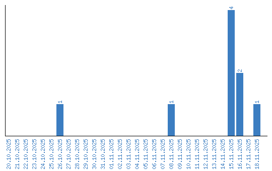
Динамика просмотров по датам