ФотобусАвтобусный транспорт

Информация об изображении

347 КБ


Идентификатор изображения:1863579
Размер файла:347 КБ
Автор:Саня Юрчук
Опубликовано:06.11.2017 23:23 MSK
Находится на сайте, дней:3028
Уникальных просмотров:336
Комментариев:0

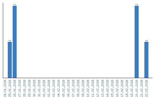
Динамика просмотров по датам