ФотобусАвтобусный транспорт

Информация об изображении

426 КБ


Идентификатор изображения:1859423
Размер файла:426 КБ
Автор:Alex_47
Опубликовано:01.11.2017 13:04 MSK
Находится на сайте, дней:3031
Уникальных просмотров:286
Комментариев:0

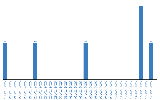
Динамика просмотров по датам