ФотобусАвтобусный транспорт

Информация об изображении

345 КБ


Идентификатор изображения:1854471
Размер файла:345 КБ
Автор:Алекс Леженко
Опубликовано:25.10.2017 07:53 MSK
Находится на сайте, дней:2932
Уникальных просмотров:409
Комментариев:0

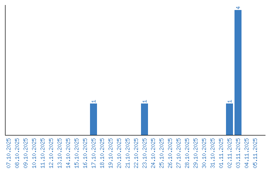
Динамика просмотров по датам