FotobusAutobusų transportas

Nuotraukos informacija

308 KB


Nuotraukos identifikatorius:1852476
Bylos dydis:308 KB
Autorius:Eugen
Publikuota:22.10.2017 11:38 MSK
Yra tinklapyje dienų:2914
Unikalių peržiūrų:240
Komentarų:0

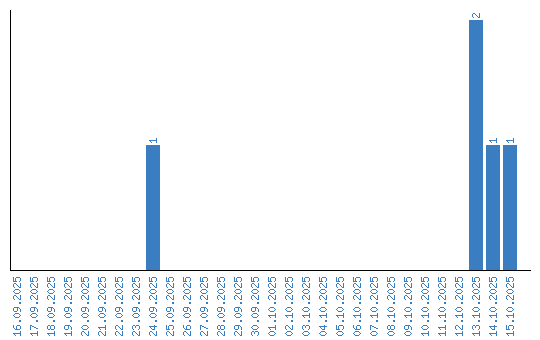
Peržiūrų dinamika pagal dienas