ФотобусАвтобусный транспорт

Информация об изображении

285 КБ


Идентификатор изображения:1848571
Размер файла:285 КБ
Автор:Олег Довгалюк
Опубликовано:16.10.2017 10:58 MSK
Находится на сайте, дней:3098
Уникальных просмотров:636
Комментариев:0

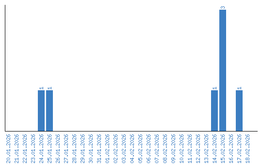
Динамика просмотров по датам