FotobusAutobusų transportas

Nuotraukos informacija

318 KB


Nuotraukos identifikatorius:1847592
Bylos dydis:318 KB
Autorius:dani
Publikuota:15.10.2017 01:37 MSK
Yra tinklapyje dienų:3001
Unikalių peržiūrų:261
Komentarų:0

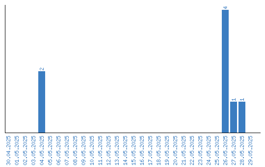
Peržiūrų dinamika pagal dienas