ФотобусАвтобусный транспорт

Информация об изображении

442 КБ


Идентификатор изображения:1846929
Размер файла:442 КБ
Автор:NP
Опубликовано:13.10.2017 23:46 MSK
Находится на сайте, дней:2917
Уникальных просмотров:891
Комментариев:15

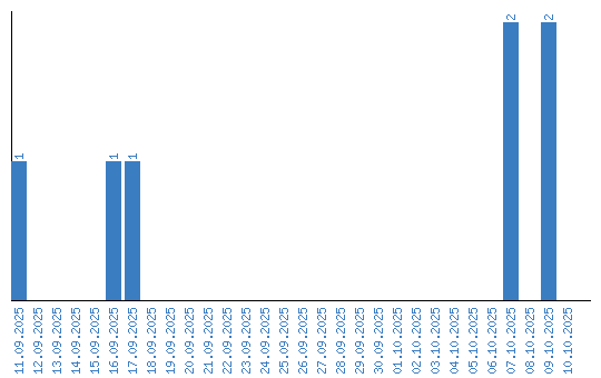
Динамика просмотров по датам