FotobusΜεταφορά με λεωφορείο

Picture Statistics

196 KB


Picture ID:184494
File Size:196 KB
Συγγραφέας:Павел 63
Publication Date:10.11.2009 23:59 MSK
Days in Database:5935
Unique views:909
Comments:5

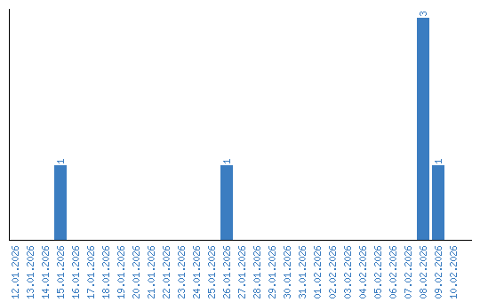
Viewing statistics by date