FotobusAutobusų transportas

Nuotraukos informacija

489 KB


Nuotraukos identifikatorius:1842414
Bylos dydis:489 KB
Autorius:monochrome
Publikuota:07.10.2017 09:47 MSK
Yra tinklapyje dienų:3076
Unikalių peržiūrų:349
Komentarų:0

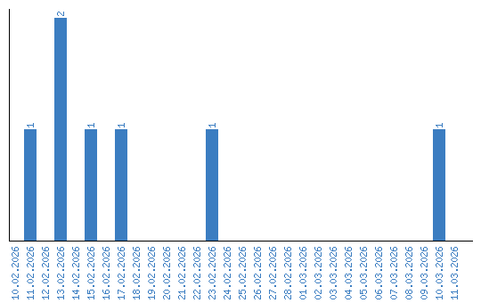
Peržiūrų dinamika pagal dienas