FotobusΜεταφορά με λεωφορείο

Picture Statistics

297 KB


Picture ID:1839874
File Size:297 KB
Συγγραφέας:Mark_24
Publication Date:03.10.2017 19:12 MSK
Days in Database:3027
Unique views:670
Comments:0

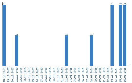
Viewing statistics by date