ФотобусАвтобустар галереясы

Информация об изображении

277 КБ


Идентификатор изображения:1838887
Размер файла:277 КБ
Автор:alexey86
Опубликовано:02.10.2017 03:45 MSK
Находится на сайте, дней:3070
Уникальных просмотров:337
Комментариев:3

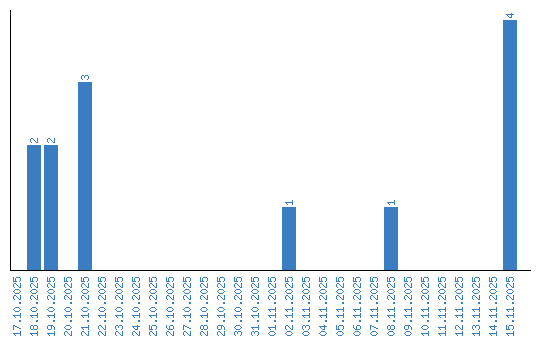
Динамика просмотров по датам