ФотобусАвтобусный транспорт

Информация об изображении

296 КБ


Идентификатор изображения:1826289
Размер файла:296 КБ
Автор:kda1981
Опубликовано:16.09.2017 08:57 MSK
Находится на сайте, дней:3028
Уникальных просмотров:252
Комментариев:0

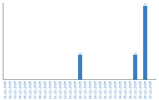
Динамика просмотров по датам