ФотобусАвтобусный транспорт

Информация об изображении

302 КБ


Идентификатор изображения:1808480
Размер файла:302 КБ
Автор:Недовольная публика
Опубликовано:20.08.2017 19:34 MSK
Находится на сайте, дней:3068
Уникальных просмотров:818
Комментариев:2

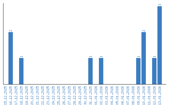
Динамика просмотров по датам