FotobusBusverkehr

Bildinformationen

337 KB


Foto-ID:1806221
Dateigröße:337 KB
Aufgenommen von:Евгений Мамыкин
Veröffentlicht am:17.08.2017 18:18 MSK
Tage seit Veröffentlichung:3002
Aufrufe:579
Kommentare:0

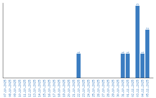
Aufrufestatistik (Tage)