ФотобусАвтобусный транспорт

Информация об изображении

237 КБ


Идентификатор изображения:180308
Размер файла:237 КБ
Автор:Александр Сологубов
Опубликовано:01.11.2009 14:27 MSK
Находится на сайте, дней:5928
Уникальных просмотров:155
Комментариев:0

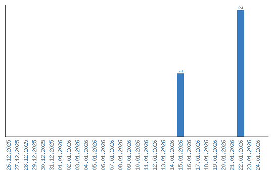
Динамика просмотров по датам