ФотабусАўтобусны транспарт

Iнфармацыя аб малюнку

411 КБ


Ідэнтыфікатар малюнка:1802564
Памер файла:411 КБ
Аўтар:sergey1001
Апублікавана:11.08.2017 01:11 MSK
Знаходзіцца на сайце, дзён:3027
Унікальных праглядаў:205
Каментарыяў:0

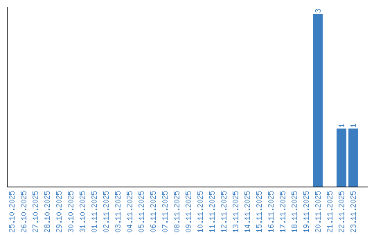
Дынаміка праглядаў па датах