FotobusAutobusų transportas

Nuotraukos informacija

295 KB


Nuotraukos identifikatorius:1799505
Bylos dydis:295 KB
Autorius:MaxFand
Publikuota:05.08.2017 22:06 MSK
Yra tinklapyje dienų:3131
Unikalių peržiūrų:476
Komentarų:0

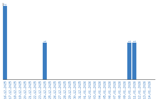
Peržiūrų dinamika pagal dienas