ФотобусАвтобусный транспорт

Информация об изображении

313 КБ


Идентификатор изображения:1797981
Размер файла:313 КБ
Автор:Ян Мухтаров
Опубликовано:02.08.2017 16:53 MSK
Находится на сайте, дней:3160
Уникальных просмотров:224
Комментариев:0

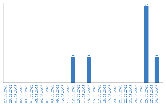
Динамика просмотров по датам