ФотобусАвтобусный транспорт

Информация об изображении

452 КБ


Идентификатор изображения:1794682
Размер файла:452 КБ
Автор:Valius Kedainietis
Опубликовано:30.07.2017 01:13 MSK
Находится на сайте, дней:3147
Уникальных просмотров:792
Комментариев:1

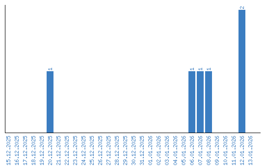
Динамика просмотров по датам