ФотобусАвтобусный транспорт

Информация об изображении

336 КБ


Идентификатор изображения:1791504
Размер файла:336 КБ
Автор:Спринтер
Опубликовано:24.07.2017 07:20 MSK
Находится на сайте, дней:3156
Уникальных просмотров:438
Комментариев:1

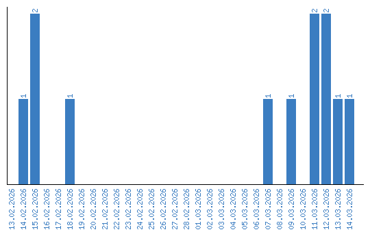
Динамика просмотров по датам