ФотобусАвтобусный транспорт

Информация об изображении

396 КБ


Идентификатор изображения:1790102
Размер файла:396 КБ
Автор:sergey1001
Опубликовано:22.07.2017 15:20 MSK
Находится на сайте, дней:3122
Уникальных просмотров:594
Комментариев:0

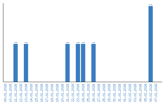
Динамика просмотров по датам