ФотобусАвтобусний транспорт

Статистика по зображенню

454 КБ


Ідентифікатор зображення:1787707
Розмір файлу:454 КБ
Автор:Valius Kedainietis
Опубліковано:17.07.2017 13:30 MSK
Знаходиться на сайті, днів:3000
Унікальних переглядів:284
Коментарів:0

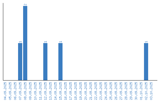
Динаміка переглядів за датами