ФотобусАвтобусный транспорт

Информация об изображении

336 КБ


Идентификатор изображения:1787062
Размер файла:336 КБ
Автор:Макс Строгинский
Опубликовано:16.07.2017 19:55 MSK
Находится на сайте, дней:3005
Уникальных просмотров:555
Комментариев:0

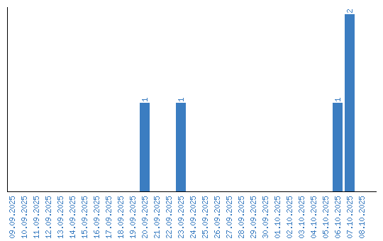
Динамика просмотров по датам