ФотобусАвтобусный транспорт

Информация об изображении

306 КБ


Идентификатор изображения:1770088
Размер файла:306 КБ
Автор:mixkol
Опубликовано:15.06.2017 20:50 MSK
Находится на сайте, дней:3191
Уникальных просмотров:789
Комментариев:0

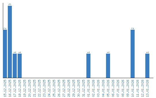
Динамика просмотров по датам