FotobusAutobusų transportas

Nuotraukos informacija

144 KB


Nuotraukos identifikatorius:1768863
Bylos dydis:144 KB
Autorius:olegp
Publikuota:14.06.2017 00:34 MSK
Yra tinklapyje dienų:3207
Unikalių peržiūrų:245
Komentarų:0

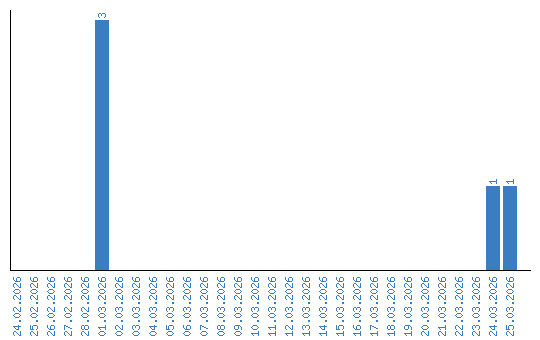
Peržiūrų dinamika pagal dienas