ФотобусАвтобусный транспорт

Информация об изображении

341 КБ


Идентификатор изображения:1761087
Размер файла:341 КБ
Автор:Pavlik
Опубликовано:30.05.2017 12:33 MSK
Находится на сайте, дней:3218
Уникальных просмотров:370
Комментариев:2

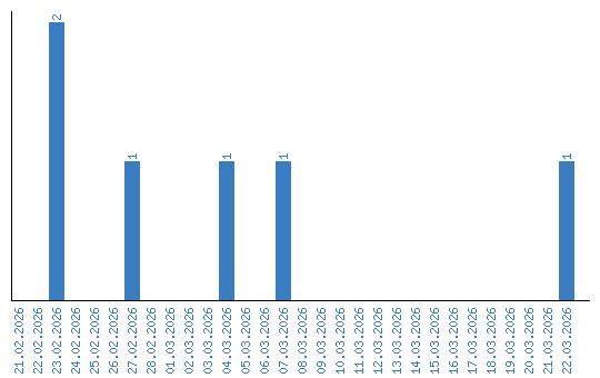
Динамика просмотров по датам