FotobusAutobusų transportas

Nuotraukos informacija

324 KB


Nuotraukos identifikatorius:1757801
Bylos dydis:324 KB
Autorius:dielektrik
Publikuota:24.05.2017 22:55 MSK
Yra tinklapyje dienų:3183
Unikalių peržiūrų:244
Komentarų:0

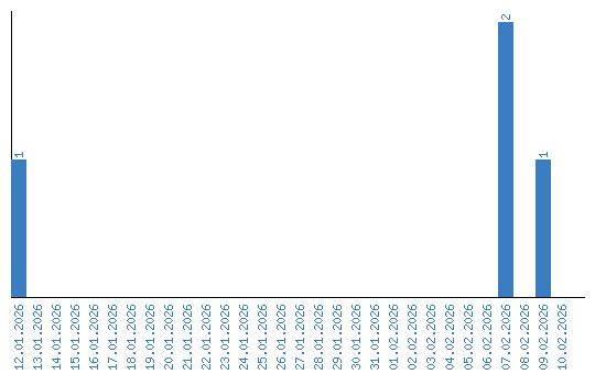
Peržiūrų dinamika pagal dienas