FotobusAutobusų transportas

Nuotraukos informacija

334 KB


Nuotraukos identifikatorius:1757634
Bylos dydis:334 KB
Autorius:dielektrik
Publikuota:24.05.2017 13:50 MSK
Yra tinklapyje dienų:3090
Unikalių peržiūrų:246
Komentarų:0

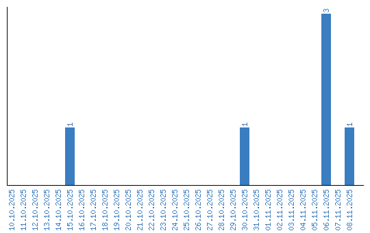
Peržiūrų dinamika pagal dienas