FotobusΜεταφορά με λεωφορείο

Picture Statistics

188 KB


Picture ID:175521
File Size:188 KB
Συγγραφέας:Евгений Акинфеев
Publication Date:20.10.2009 15:35 MSK
Days in Database:5846
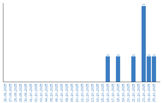
Unique views:460
Comments:1

Viewing statistics by date