ФотобусАвтобустар галереясы

Информация об изображении

451 КБ


Идентификатор изображения:1748198
Размер файла:451 КБ
Автор:NP
Опубликовано:09.05.2017 22:15 MSK
Находится на сайте, дней:3262
Уникальных просмотров:254
Комментариев:2

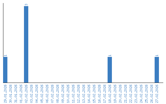
Динамика просмотров по датам