FotobusAutobusų transportas

Nuotraukos informacija

331 KB


Nuotraukos identifikatorius:1743921
Bylos dydis:331 KB
Autorius:Andreuko9
Publikuota:03.05.2017 22:58 MSK
Yra tinklapyje dienų:3229
Unikalių peržiūrų:251
Komentarų:0

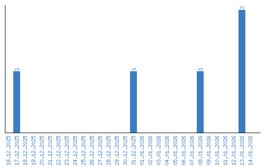
Peržiūrų dinamika pagal dienas