ФотабусАўтобусны транспарт

Iнфармацыя аб малюнку

214 КБ


Ідэнтыфікатар малюнка:1739717
Памер файла:214 КБ
Аўтар:Grimbusz
Апублікавана:26.04.2017 22:23 MSK
Знаходзіцца на сайце, дзён:3215
Унікальных праглядаў:484
Каментарыяў:0

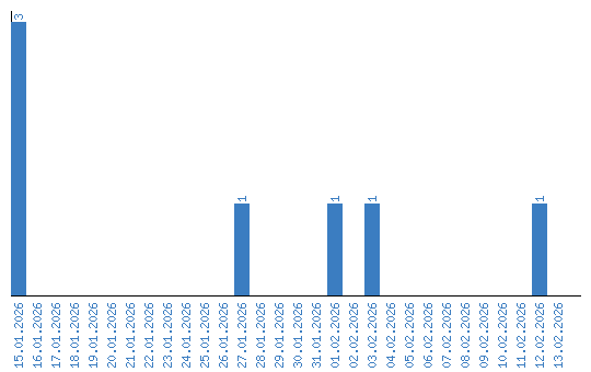
Дынаміка праглядаў па датах