ФотобусАвтобусный транспорт

Информация об изображении

233 КБ


Идентификатор изображения:173399
Размер файла:233 КБ
Автор:Coper
Опубликовано:15.10.2009 14:05 MSK
Находится на сайте, дней:5974
Уникальных просмотров:946
Комментариев:1

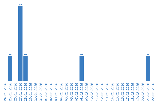
Динамика просмотров по датам