ФотобусАвтобусный транспорт

Информация об изображении

340 КБ


Идентификатор изображения:1732615
Размер файла:340 КБ
Автор:MaxFand
Опубликовано:16.04.2017 13:22 MSK
Находится на сайте, дней:3091
Уникальных просмотров:529
Комментариев:0

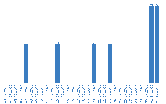
Динамика просмотров по датам