ФотобусАвтобусный транспорт

Информация об изображении

344 КБ


Идентификатор изображения:1721968
Размер файла:344 КБ
Автор:sasha24
Опубликовано:30.03.2017 04:09 MSK
Находится на сайте, дней:3261
Уникальных просмотров:312
Комментариев:0

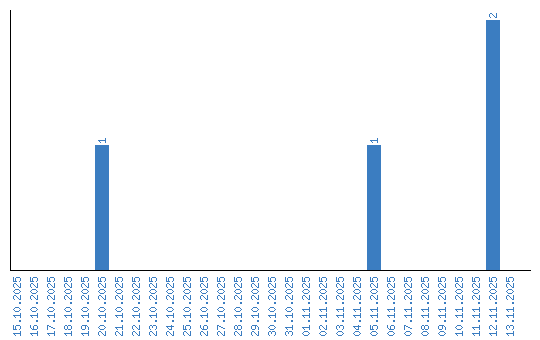
Динамика просмотров по датам