ФотабусАўтобусны транспарт

Iнфармацыя аб малюнку

291 КБ


Ідэнтыфікатар малюнка:1720267
Памер файла:291 КБ
Аўтар:IKARUS 250Lux
Апублікавана:27.03.2017 22:18 MSK
Знаходзіцца на сайце, дзён:3303
Унікальных праглядаў:193
Каментарыяў:0

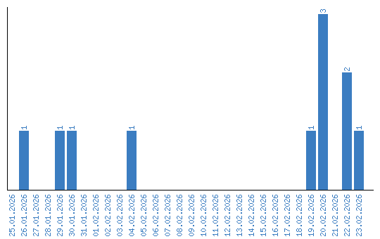
Дынаміка праглядаў па датах