ФотобусАвтобусний транспорт

Статистика по зображенню

380 КБ


Ідентифікатор зображення:1716893
Розмір файлу:380 КБ
Автор:Kreycer
Опубліковано:23.03.2017 10:39 MSK
Знаходиться на сайті, днів:3151
Унікальних переглядів:333
Коментарів:0

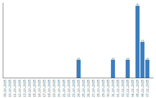
Динаміка переглядів за датами