FotobusTransport autobusowy

Informacja o zdjęciu

436 kB


Identyfikator zdjęcia:1714758
Rozmiar pliku:436 kB
Autor:X-Rayder
Opublikowano:21.03.2017 15:37 MSK
Znajduje się na stronę, dni:3158
Odsłon:204
Komentarzy:0

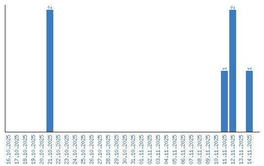
Liczba oglądających wg dat