FotobusAutobusų transportas

Nuotraukos informacija

479 KB


Nuotraukos identifikatorius:1709131
Bylos dydis:479 KB
Autorius:sergey1001
Publikuota:11.03.2017 18:14 MSK
Yra tinklapyje dienų:3165
Unikalių peržiūrų:364
Komentarų:0

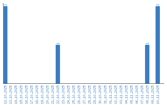
Peržiūrų dinamika pagal dienas