ФотабусАўтобусны транспарт

Iнфармацыя аб малюнку

342 КБ


Ідэнтыфікатар малюнка:1708083
Памер файла:342 КБ
Аўтар:rvr
Апублікавана:09.03.2017 17:37 MSK
Знаходзіцца на сайце, дзён:3271
Унікальных праглядаў:403
Каментарыяў:0

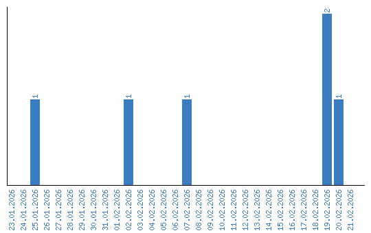
Дынаміка праглядаў па датах