ФотобусАвтобусный транспорт

Информация об изображении

306 КБ


Идентификатор изображения:1706250
Размер файла:306 КБ
Автор:Oleg23145464
Опубликовано:06.03.2017 20:19 MSK
Находится на сайте, дней:3143
Уникальных просмотров:324
Комментариев:0

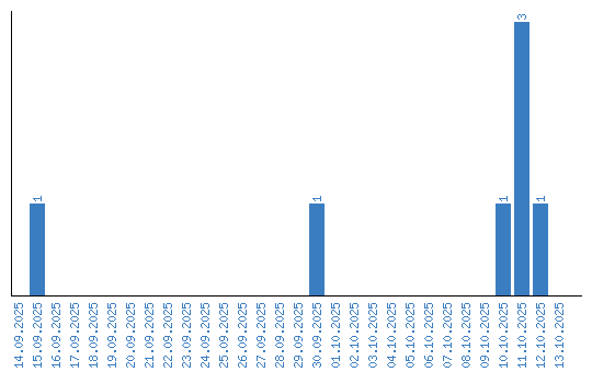
Динамика просмотров по датам