ФотобусАвтобусный транспорт

Информация об изображении

328 КБ


Идентификатор изображения:1703549
Размер файла:328 КБ
Автор:VV1
Опубликовано:27.02.2017 18:39 MSK
Находится на сайте, дней:3160
Уникальных просмотров:622
Комментариев:0

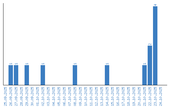
Динамика просмотров по датам