FotobusΜεταφορά με λεωφορείο

Picture Statistics

307 KB


Picture ID:1690523
File Size:307 KB
Συγγραφέας:Strike
Publication Date:02.02.2017 14:38 MSK
Days in Database:3229
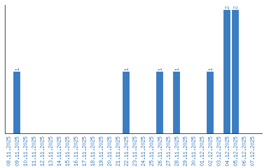
Unique views:500
Comments:0

Viewing statistics by date