FotobusAutobusová doprava

Statistika obrázku

314 kB


Identifikátor obrázku:1685093
Velikost souboru:314 kB
Autor:alex26
Zveřejněno:22.01.2017 16:41 MSK
Nachází se na stránkách (dní):3250
Jednotlivých zhlédnutí:200
Komentářů:0

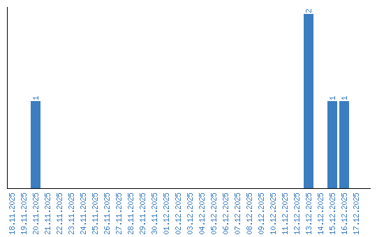
Zhlédnutí po jednotlivých dnech