FotobusΜεταφορά με λεωφορείο

Picture Statistics

293 KB


Picture ID:1673477
File Size:293 KB
Συγγραφέας:DVkor
Publication Date:29.12.2016 09:45 MSK
Days in Database:3363
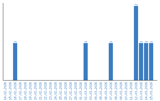
Unique views:180
Comments:0

Viewing statistics by date