ФотобусАвтобусный транспорт

Информация об изображении

210 КБ


Идентификатор изображения:166720
Размер файла:210 КБ
Автор:Илья Плеханов
Опубликовано:29.09.2009 19:10 MSK
Находится на сайте, дней:6017
Уникальных просмотров:356
Комментариев:0

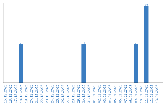
Динамика просмотров по датам