ФотабусАўтобусны транспарт

Iнфармацыя аб малюнку

248 КБ


Ідэнтыфікатар малюнка:1664785
Памер файла:248 КБ
Аўтар:monochrome
Апублікавана:10.12.2016 15:38 MSK
Знаходзіцца на сайце, дзён:3252
Унікальных праглядаў:130
Каментарыяў:0

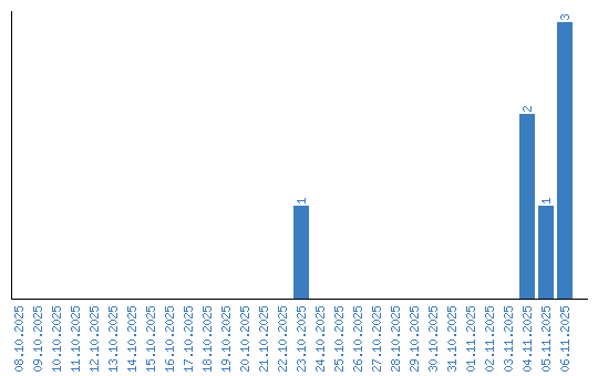
Дынаміка праглядаў па датах