FotobusΜεταφορά με λεωφορείο

Picture Statistics

151 KB


Picture ID:165913
File Size:151 KB
Συγγραφέας:Anry KB
Publication Date:27.09.2009 23:02 MSK
Days in Database:5969
Unique views:440
Comments:1

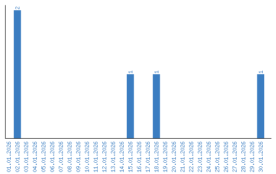
Viewing statistics by date